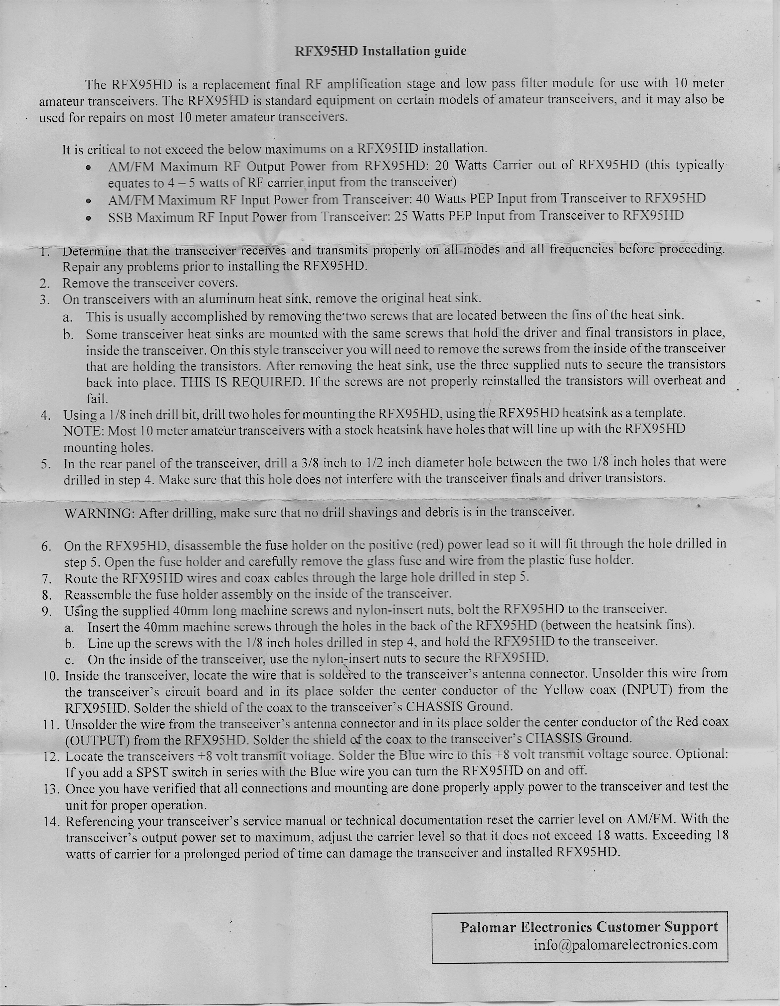
|
The RFX95 circuit includes
final
amplifier stage and low pass filter. The RFX95
is your choice for 10 meter radio repairs and
upgrades. It doesn't replace the final stage, it adds
to it so it
can be switched ON or OFF and can be bipassed.

BC-980
The RFX95HD circuit includes only the final
amplifier stage and low pass filter which
makes for a quicker and easier installation in some units. The RFX95HD
is your choice for 10
meter radio upgrades when the final transistor is good and
intact and if you want to have the 95 in or out of line (on/off).
This is a complicated modification and should not be done by an amateur.
You
should probably leave the installation and alignment to
a
proven technician.
Comply with part 15 of the FCC Rules. Operation is subject to
the
condition that this device does not cause harmful
interference. Further i
nformation can be found at the FCC
website
http://fcc.gov or
the
ARRL website
http://arrl.org.
Transmitting using this radio requires an Amateur Radio License.
Licensing
information can be obtained by visiting
www.fcc.gov or
http://arrl.org. In
Canada, visit
http://strategis.ic.gc.ca
or
http://www.rac.ca
|